08009 Ein Leitfaden zur Kosten- und Energieeinsparung durch den Austausch von herkömmlichen mechanischen Kondensatableitern mit Venturi-Kondensatableitern
|
Dampf wird in fast allen industriellen Prozessen als Transportmittel für Wärme verwendet. Dampfsysteme benötigen Kondensatableiter, um das Kondensat abzuleiten, das entsteht, wenn Dampf Energie abgibt und kondensiert. Üblicherweise haben diese Kondensatableiter bewegliche Teile, die zu Störungen und Ausfällen neigen. Somit benötigen sie eine regelmäßige Wartung, um ein sicheres, zuverlässiges und effizientes System zu gewährleisten.
Dieser Artikel stellt eine alternative Lösung für Kondensatableiter ohne bewegliche Teile vor – den sogenannten Venturi-Kondensatableiter – und zeigt die enormen Einsparmöglichkeiten auf.
Präsentiert werden Labortestergebnisse und Anwendungsstudien aus der Praxis von über 1.000 Venturi-Kondensatableitern, die signifikante Einsparungen und Prozessvorteile selbst gegenüber gut instand gehaltenen mechanischen Kondensatableitern aufzeigen.
Die Eliminierung von nicht funktionierenden offenen Kondensatableitern könnte allein in den USA zu einer Reduzierung von 4,5 Mt CO2 pro Jahr führen.
Ansprechpartner Autoren für DeutschlandHerr Hamed ScheivanieMobil: +49.1577.2992403hamed.scheivanie@thermalenergy.com Arbeitshilfen: von: |
1 Einleitung
Was macht ein Kondensatableiter?
Dampf wird in fast allen wichtigen industriellen Prozessen verwendet. Laut UN [1] entfallen rund 30 % des weltweiten Energieverbrauchs in der Industrie auf Dampfsysteme. In diesen Systemen wird Dampf in erster Linie als Energieträger verwendet, um Wärme von der Kesselanlage zum Ort des Verbrauchs zu transportieren. Dampf trägt seine nutzbare Energie in Form von Kondensationswärme, die er abgibt, wenn er zu Wasser kondensiert. Um einen sicheren und effektiven Betrieb des Dampfsystems aufrechtzuerhalten, muss dieses Kondensat nach seiner Entstehung abgeleitet werden. Das ist die Aufgabe eines Kondensatableiters.
Dampf wird in fast allen wichtigen industriellen Prozessen verwendet. Laut UN [1] entfallen rund 30 % des weltweiten Energieverbrauchs in der Industrie auf Dampfsysteme. In diesen Systemen wird Dampf in erster Linie als Energieträger verwendet, um Wärme von der Kesselanlage zum Ort des Verbrauchs zu transportieren. Dampf trägt seine nutzbare Energie in Form von Kondensationswärme, die er abgibt, wenn er zu Wasser kondensiert. Um einen sicheren und effektiven Betrieb des Dampfsystems aufrechtzuerhalten, muss dieses Kondensat nach seiner Entstehung abgeleitet werden. Das ist die Aufgabe eines Kondensatableiters.
Hohe Ausfallraten
Herkömmliche Kondensatableiter enthalten bewegliche Bauteile, um das Kondensat aus dem System zu leiten. Diese beweglichen Teile takten mehrmals pro Minute und sind oft über 8.000 Stunden/Jahr unter heißen, schmutzigen Bedingungen im Einsatz, was zu bekannten Ausfallraten von etwa 10 % pro Jahr führt [2] [3]. Obwohl mit effektiven Wartungsprogrammen für Kondensatableiter (Kondensat-Management-Systemen) Dampfeinsparungen von 10–15 % möglich wären [], versäumen es Unternehmen in allen Branchen, solche Programme umzusetzen. Dies lässt sich anhand von Inspektionen an über 100.000 Kondensatableitern belegen. Denn dabei wurde festgestellt, dass 30 % der Kondensatableiter bei der ersten Inspektion nicht funktionierten. [4]
Herkömmliche Kondensatableiter enthalten bewegliche Bauteile, um das Kondensat aus dem System zu leiten. Diese beweglichen Teile takten mehrmals pro Minute und sind oft über 8.000 Stunden/Jahr unter heißen, schmutzigen Bedingungen im Einsatz, was zu bekannten Ausfallraten von etwa 10 % pro Jahr führt [2] [3]. Obwohl mit effektiven Wartungsprogrammen für Kondensatableiter (Kondensat-Management-Systemen) Dampfeinsparungen von 10–15 % möglich wären [], versäumen es Unternehmen in allen Branchen, solche Programme umzusetzen. Dies lässt sich anhand von Inspektionen an über 100.000 Kondensatableitern belegen. Denn dabei wurde festgestellt, dass 30 % der Kondensatableiter bei der ersten Inspektion nicht funktionierten. [4]
Venturi-Kondensatableiter
Venturi-Kondensatableiter oder mehrstufige Kondensatableiter sind seit über 25 Jahren auf dem Markt. Da sie keine beweglichen Bauteile haben, die ausfallen können, stellen sie eine mögliche Lösung für das Wartungsproblem der mechanischen Kondensatableiter dar. Dennoch ist die Marktdurchdringung trotz attraktiver Einsparungen bei Dampf- und Wartungskosten noch gering.
Venturi-Kondensatableiter oder mehrstufige Kondensatableiter sind seit über 25 Jahren auf dem Markt. Da sie keine beweglichen Bauteile haben, die ausfallen können, stellen sie eine mögliche Lösung für das Wartungsproblem der mechanischen Kondensatableiter dar. Dennoch ist die Marktdurchdringung trotz attraktiver Einsparungen bei Dampf- und Wartungskosten noch gering.
Bedenken
Im Zusammenhang mit der Verwendung von Venturi-Kondensatableitern werden vor allem zwei Bedenken geäußert, zum einen, ob sie die in industriellen Prozessen auftretenden Schwankungen des Kondensatdurchsatzes und des Dampfdrucks bewältigen können, zum anderen, dass die für niedrige Durchflussraten erforderlichen kleinen Düsen zu anfällig für Verstopfungen sind und deshalb in der Praxis nicht sicher in der gesamten Anlage eingesetzt werden können.
Im Zusammenhang mit der Verwendung von Venturi-Kondensatableitern werden vor allem zwei Bedenken geäußert, zum einen, ob sie die in industriellen Prozessen auftretenden Schwankungen des Kondensatdurchsatzes und des Dampfdrucks bewältigen können, zum anderen, dass die für niedrige Durchflussraten erforderlichen kleinen Düsen zu anfällig für Verstopfungen sind und deshalb in der Praxis nicht sicher in der gesamten Anlage eingesetzt werden können.
Angesichts der hohen Energiepreise und CO2-Abgaben wird es für europäische Unternehmen immer wichtiger, Energie effizienter zu nutzen. Die potenziellen Vorteile der Venturi-Technologie sollten deshalb weiter untersucht werden.
In diesem Artikel werden die theoretisch möglichen und die tatsächlichen Einsparungen durch den Einsatz der Venturi-Kondensatableiter-Technologie untersucht, und es wird aufgezeigt, wie die häufig genannten Bedenken für ihren Einsatz in der Praxis überwunden werden können.
2 Verluste bei mechanischen Kondensatableitern
Ein Kondensatableiter soll Kondensat und nicht kondensierbare Gase aus dem System leiten, aber Frischdampf zurückhalten. Traditionell werden aufgrund ihres großen Betriebsbereichs und ihrer einfachen Spezifikation mechanische Kondensatableiter verwendet. Üblicherweise kann ein einziger Kondensatableitertyp für viele Anwendungen eingesetzt werden und so eine einfache Ersatzteillagerung am Standort ermöglichen. Die über Dichte, Temperatur oder Geschwindigkeit des Dampfs gesteuerten verschiedenen mechanischen Kondensatableiterkonstruktionen sind im Beitrag 08007 im Detail beschrieben.
Tabelle 1 zeigt die am häufigsten eingesetzten mechanischen Kondensatableitertypen sowie die dazugehörigen Ausfallraten und die dadurch entstehenden Frischdampfverluste im Betrieb.
Tabelle 1: Zusammenfassung der mechanischen Kondensatableitertypen
Kondensatableiter-Design | Funktionsweise | Durchflusstyp | Ausfallart/Fehlerart | Dampfverlust im Betrieb | ||||||
|---|---|---|---|---|---|---|---|---|---|---|
Thermodynamischer Kondensatableiter | Thermodynamisch | Intermittierend/Stoßbetrieb |
| Dampfverlust beim Schließen der Scheibe | ||||||
Kugelschwimmer,
Freischwimmer-Kondensatableiter | Dichte | Kontinuierlich |
| Dampfverlust bei großen Lastschwankungen beim Anfahren | ||||||
Glockenkondensatableiter | Dichte | Intermittierend/Stoßbetrieb |
| Dampfverlust unter geringer Belastung durch Entlüftung/Dampfsperre | ||||||
Thermischer Kapsel-Kondensatableiter | Temperatur | Kontinuierlich |
| Maximale Anzahl an Zyklen des Thermostatelements |
2.1 Ausfallraten
Ein Dampfsystem ist eine heiße und aggressive Umgebung mit hohen Dampfgeschwindigkeiten und Kondensat mit hoher Dichte, Druckschwankungen und Schmutz. Diese Umgebung beschleunigt den Verschleiß der beweglichen Bauteile von Kondensatableitern, die oft mehrmals pro Minute takten. Beim Einsatz von mechanischen Kondensatableitern muss man sich des kontinuierlichen Ausfall- und Austauschzyklus bewusst sein, um einen effizienten Systembetrieb aufrechtzuerhalten. Die Hersteller selbst schätzen die jährliche Ausfallrate auf etwa 10 %. [2] [3]
30 % Ausfallrate
Ein unabhängiger europäischer Prüfer stellte bei der Prüfung von über 100.000 Kondensatableitern fest, dass in den meisten Industriezweigen mehr als 30 % der vorhandenen Kondensatableiter nicht ordnungsgemäß funktionieren. [4]
Ein unabhängiger europäischer Prüfer stellte bei der Prüfung von über 100.000 Kondensatableitern fest, dass in den meisten Industriezweigen mehr als 30 % der vorhandenen Kondensatableiter nicht ordnungsgemäß funktionieren. [4]
Die Ausfallraten hängen von einer Vielzahl von Faktoren ab, darunter die Systemauslegung, der Dampfdruck, die Qualität der Wasseraufbereitung und das Wartungsbudget, das für die Überwachung und den Austausch von fehlerhaften Kondensatableitern aufgewendet wird. Kondensatableiter können im Durchlass-, Leckage- oder in geschlossenem Zustand ausfallen.
Dampfverluste
Wird Dampf in das Kondensatsystem eingeleitet, bedeutet das Energieverlust und führt zu einem Druckanstieg im Kondensatrücklaufsystem, was die Funktionsfähigkeit der anderen Kondensatableiter beeinträchtigt. Die Dampfverluste durch einen Kondensatableiter hängen vom Durchmesser der Öffnung im Kondensatableiter, dem Differenzdruck und den Betriebsstunden ab.
Wird Dampf in das Kondensatsystem eingeleitet, bedeutet das Energieverlust und führt zu einem Druckanstieg im Kondensatrücklaufsystem, was die Funktionsfähigkeit der anderen Kondensatableiter beeinträchtigt. Die Dampfverluste durch einen Kondensatableiter hängen vom Durchmesser der Öffnung im Kondensatableiter, dem Differenzdruck und den Betriebsstunden ab.
Das größte Potenzial für Frischdampfverluste bei einem Ausfall haben große, in Prozesse eingebundene Kondensatableiter. Diese werden aber aufgrund ihrer Auswirkungen oft auf den Prozess schnell erkannt. Kleinere Kondensatableiter z. B. in Leitungsentwässerungsanlagen sind aufgrund ihrer langen Betriebszeiten, höheren Dampfdrücken und -mengen häufig kumulativ für große Dampfverluste verantwortlich und weniger leicht zu erkennen.
Bei vielen Instandhaltungsprogrammen für Kondensatableiter liegt der Schwerpunkt auf Kosteneinsparungen, die durch den Austausch von undichten Kondensatableitern erzielt werden können, wobei einige Standorte sogar undichte Ableiter isolieren, um Energie zu sparen, bis sie repariert werden können. Kalte Kondensatableiter können durchaus schwerwiegende Folgen haben und zu Schäden an der Anlage, zur Abschaltung der Anlage und zu Verletzungen des Personals vor Ort führen. J. Risko, 2013, bietet Orientierung für die Kostenzuordnung bei fehlerhaft geschlossenen Kondensatableitern [5].
2.2 Verluste durch Ausfälle
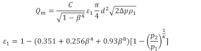
Die Öffnung eines mechanischen Kondensatableiters ist für seine Anwendung überdimensioniert und der Kondensatfluss wird über den internen Mechanismus geregelt. Ein mechanischer Kondensatableiter, der in offener Stellung ausgefallen ist, hat keine Möglichkeit, diesen Frischdampfverlust zu drosseln, was zu Energieverlusten führt. Diese Verluste können mithilfe der in ISO 5167-2 aufgeführten Formeln kalkuliert werden:
wobei:
Qm | - | die Flüssigkeitsmassenströmungsrate | [kg/s] |
C | - | Durchflusskoeffizient | dimensionslos |
d | - | Leckdurchmesser | [m] |
D | - | Innendurchmesser der Rohrleitungen | [m] |
Δp | - | Differenzdruck | [Pa] |
ρ1 | - | Eingangsdampfdichte | [kg/m3] |
κ | - | Isentropischer Exponent | dimensionslos |
p1 | - | Eingangsdruck | [Pa abs] |
p2 | - | Ausgangsdruck | [Pa abs] |
β | - | Durchmesserverhältnis d/D | dimensionslos |
Damit auch die innere Geometrie und der Drosseleffekt des Kondensats, das ebenfalls durch die Öffnung fließt, berücksichtigt werden können, wird die berechnete Durchflussmenge mit einem auf Erfahrungswerten beruhenden Faktor multipliziert. Üblicherweise wird für vollständig geöffnete Kondensatableiter im Durchblaszustand ein Wert von 0,45 verwendet, der auf 0,18 für undichte Kondensatableiter im Teilausfallzustand reduziert wird.
„Kritischer Druck”
Die Durchflussrate in dieser Formel ist auf den „kritischen Druck" limitiert, wenn die Strömungsgeschwindigkeit gleich der Schallgeschwindigkeit ist. Jeder weitere Anstieg im Differenzdruck führt nicht zu einem weiteren Anstieg der Strömungsgeschwindigkeit. Dies muss bei der Auswahl von p1 und p2 berücksichtigt werden.
Die Durchflussrate in dieser Formel ist auf den „kritischen Druck" limitiert, wenn die Strömungsgeschwindigkeit gleich der Schallgeschwindigkeit ist. Jeder weitere Anstieg im Differenzdruck führt nicht zu einem weiteren Anstieg der Strömungsgeschwindigkeit. Dies muss bei der Auswahl von p1 und p2 berücksichtigt werden.
2.3 Verluste am gesamten Standort durch ausgefallene Kondensatableiter
Frischdampfverluste und damit verbundene CO2-Emissionen durch ausgefallene Kondensatableiter können anhand typischer Kondensatableiterbestände und Daten aus einer Studie mit 100.000 Kondensatableitern extrapoliert werden [4]. Von den in der Studie als defekt betrachteten Ableitern wurden 46 % als teilweise defekt und weitere 13 % als vollständig geöffnet im Durchblaszustand identifiziert. Auf der Grundlage durchschnittlicher Ausfallraten in der Industrie [4] lassen sich die durchschnittlichen Frischdampfverluste pro Standort berechnen (s. Tab. 2). Diese Werte wurden unter den nachstehenden Annahmen konservativ berechnet.
Annahmen:
| Durchschnittliche Kondensatableitergröße: | DN20 |
| Durchschnittliche Betriebsstundenzahl: | 5.000/Jahr |
| Durchschnittlicher Dampfdruck: | 25 EUR/Tonne |
| Dampfkosten: | 6 bar(g) |
| Brennstoff – Erdgas: | 0,185 kg CO2e/kWh |
| CO2-Kosten: | 50 EUR/Tonne CO2e |
Tabelle 2: Kondensatableiter-Ausfallraten in unterschiedlichen Branchen [4]
Branche | Anzahl Kondensatableiter | Ausfallrate | ausgefallene Kondensatableiter | Dampfverlust in Tonnen/Jahr | Brennstoffverluste | CO2-Äquivalent Tonnen/Jahr | CO2-Wert | Gesamtverluste |
|---|---|---|---|---|---|---|---|---|
Petrochemie | 5000 | 34 % | 1.700 | 64.990 | 1.624.754 EUR | 10.295 | 514.742 EUR | 2.139.496 EUR |
Chemie | 1000 | 29 % | 290 | 11.087 | 277.164 EUR | 1.756 | 87.809 EUR | 364.973 EUR |
Stahlwerk | 500 | 39 % | 195 | 7.455 | 186.369 EUR | 1.181 | 59.044 EUR | 245.413 EUR |
Pharmazeutika | 1000 | 19 % | 190 | 7.264 | 181.590 EUR | 1.151 | 57.530 EUR | 239.120 EUR |
Nahrungsmittel und Getränke | 500 | 36 % | 180 | 6.881 | 172.033 EUR | 1.090 | 54.502 EUR | 226.535 EUR |
Krankenhaus | 300 | 34 % | 102 | 3.899 | 97.485 EUR | 618 | 30.885 EUR | 128.370 EUR |
Brauerei | 200 | 32 % | 64 | 2.447 | 61.167 EUR | 388 | 19.379 EUR | 80.546 EUR |
Molkerei | 200 | 23 % | 46 | 1.759 | 43.964 EUR | 279 | 13.928 EUR | 57.892 EUR |
Wäscherei | 100 | 24 % | 24 | 918 | 22.938 EUR | 145 | 7.267 EUR | 30.205 EUR |
Es ist klar ersichtlich, dass in allen Branchen beträchtliche Einsparungspotenziale vorhanden sind. Ein Unternehmen, das seine CO2- und Energieziele erreichen will, kann so die potenziellen Einsparungen durch die Beseitigung der fehlerhaften Kondensableiter quantifizieren. Üblicherweise führt dies zu einer schnellen Amortisation durch Energieeinsparungen und einer besseren Prozesssteuerung in der gesamten Anlage.
Es darf angemerkt werden, dass Unternehmen, die wirksame Programme zur Wartung von Kondensatableitern eingeführt haben, diese Verluste reduzieren konnten.
3 Wartung mechanischer Kondensatableiter
Nachdem defekte mechanische Kondensatableiter in einer Anlage eliminiert wurden, ist ein regelmäßiger Wartungsplan erforderlich, um sicherzustellen, dass Frischdampfverluste und Ausfälle auf ein Minimum beschränkt bleiben. Obwohl es sich um eine große Anfangsinvestition handelt, besagen Schätzungen, dass durch die regelmäßige Überprüfung und Wartung von Kondensatableitern eine Gesamteinsparung von 10−15 % erzielt werden kann. In der Regel amortisiert sich die Investition in einem halben Jahr [].
Kontrolle mindestens einmal im Jahr
Üblicherweise sollte jeder mechanische Kondensatableiter mindestens einmal pro Jahr kontrolliert werden, um die Ausfallrate so gering wie möglich zu halten. Um die Ausfallrate unter 3 % zu halten, insbesondere an größeren Standorten, sind beträchtliche Ressourcen erforderlich. Es kommt ständig zu Störungen, die nicht immer sofort behoben werden können. Ein Mangel an Ressourcen, die Unmöglichkeit, den Kondensatableiter sicher zu isolieren sowie produktionsabhängige Erfordernisse sind häufige Gründe für ausgefallene Kondensatableiter.
Üblicherweise sollte jeder mechanische Kondensatableiter mindestens einmal pro Jahr kontrolliert werden, um die Ausfallrate so gering wie möglich zu halten. Um die Ausfallrate unter 3 % zu halten, insbesondere an größeren Standorten, sind beträchtliche Ressourcen erforderlich. Es kommt ständig zu Störungen, die nicht immer sofort behoben werden können. Ein Mangel an Ressourcen, die Unmöglichkeit, den Kondensatableiter sicher zu isolieren sowie produktionsabhängige Erfordernisse sind häufige Gründe für ausgefallene Kondensatableiter.
3.1.1 Temperaturmessung
Am einfachsten lässt sich der Status eines Kondensatableiters mittels Temperaturmessungen diagnostizieren. Bei einem funktionsfähigen Kondensatableiter entspricht die Vorlauftemperatur der Sättigungstemperatur der vorgelagerten Dampfleitung. Die Temperatur des Kondensatrücklaufs sollte mit der Sättigungsdrucktemperatur übereinstimmen. Liegt die Temperatur nach dem Kondensatableiter deutlich über der zuvor beschriebenen Temperatur bei Sättigungsdruck, kann dies auf einen Durchlass von Frischdampf hinweisen, während eine niedrigere Temperatur vor dem Kondensatableiter auf einen defekten geschlossenen Kondensatableiter deutet.
3.1.2 Ultraschallprüfung
Zur Überwachung des Zustands von Kondensatableitern werden häufig Ultraschallverfahren eingesetzt. Bei dieser Methode wird ein Kontaktsondenmodul verwendet, um Ultraschallschwingungen zu erfassen und sie dann in einen hörbaren Bereich zu verschieben.
Den Defekt „hören”
Der Bediener kann dann den zyklischen Betrieb eines mechanischen Kondensatableiters verfolgen. Wenn sich der Kondensatableiter öffnet, um das Kondensat abzulassen, und sich schließt, um den Dampf zurückzuhalten, ist ein deutliches Geräuschmuster hörbar. Je nach Typ des Kondensatableiters ist das Geräuschmuster aufgrund der verschiedenen Funktionsprinzipien unterschiedlich. Mit dieser Prüfmethode kann der Zyklus getestet werden und ob die Dichtheit in geschlossener Stellung aufrechterhalten wird. Ein erfahrener Bediener kann einen defekten mechanischen Kondensatableiter aufgrund seiner Erfahrung leicht diagnostizieren.
Der Bediener kann dann den zyklischen Betrieb eines mechanischen Kondensatableiters verfolgen. Wenn sich der Kondensatableiter öffnet, um das Kondensat abzulassen, und sich schließt, um den Dampf zurückzuhalten, ist ein deutliches Geräuschmuster hörbar. Je nach Typ des Kondensatableiters ist das Geräuschmuster aufgrund der verschiedenen Funktionsprinzipien unterschiedlich. Mit dieser Prüfmethode kann der Zyklus getestet werden und ob die Dichtheit in geschlossener Stellung aufrechterhalten wird. Ein erfahrener Bediener kann einen defekten mechanischen Kondensatableiter aufgrund seiner Erfahrung leicht diagnostizieren.
3.1.3 Fernüberwachungstechniken
Viele große Hersteller von Kondensatableitern haben in letzter Zeit Systeme für die Live-Überwachung des Zustands von Kondensatableitern entwickelt. Dazu gehören auch Sensoren rund um den Kondensatableiter, die das Wartungspersonal auf etwaige Störungen aufmerksam machen sollen. Wenn Kondensatableiter an schwer zugänglichen Stellen, z. B. in Tunneln, installiert sind, kann dies äußerst nützlich sein. Defekte Kondensatableiter können dann sofort diagnostiziert und gewartet werden und nicht erst bei der nächsten Inspektion. Üblicherweise erfolgt die Stromversorgung dieser Technologie durch langlebige Batterien oder durch die Nutzung der Wärme aus den heißen Rohrleitungen.
Bessere Planbarkeit
Durch den Einsatz dieser Systeme können Wartungsteams ihre Ressourcen besser einsetzen. So müssen nicht alle Kondensatableiter in regelmäßigen Abständen überprüft werden, sondern es können die erforderlichen Kondensatableiter priorisiert werden. Die Sofortdiagnose von Kondensatableitern kann zusätzliche Energieeinsparungen von 5 % ermöglichen, wobei die Amortisationszeit für die Investition der Systeme in der Regel etwa 1 Jahr beträgt [].
Durch den Einsatz dieser Systeme können Wartungsteams ihre Ressourcen besser einsetzen. So müssen nicht alle Kondensatableiter in regelmäßigen Abständen überprüft werden, sondern es können die erforderlichen Kondensatableiter priorisiert werden. Die Sofortdiagnose von Kondensatableitern kann zusätzliche Energieeinsparungen von 5 % ermöglichen, wobei die Amortisationszeit für die Investition der Systeme in der Regel etwa 1 Jahr beträgt [].
4.1 Funktion
Auf der Suche nach einem zuverlässigeren Kondensatableitertyp begann die US Navy in den 1960ern damit, Kondensatableiter durch Drosselscheiben zu ersetzen. Eine kalibrierte Blende für die Ableitung eines fest definierten Kondensatdurchsatzes sorgte dafür, dass alle beweglichen Teile wegfielen. Die Größe der Blende wurde durch den Differenzdruck an der Scheibe und die Durchflussrate des Kondensats bestimmt. Wenn ein Gemisch aus Dampf und Kondensat auf eine Drosselstelle, in diesem Fall eine Blende, trifft, wird das Kondensat aufgrund seiner wesentlich höheren Dichte bevorzugt abgeführt.
Prämiert, aber schlecht übertragbar
Dank dieser Erfindung konnte die US Navy 10,5 Mio. USD einsparen, was ihr eine Auszeichnung von Präsident Jimmy Carter einbrachte − eine von nur sechs Auszeichnungen in über 20 Jahren [6]. Die Drosselscheibentechnologie ließ sich aufgrund der variablen Kondensatdurchsätze und Dampfdrücke in industriellen Prozessen nicht gut auf die Industrie übertragen.
Dank dieser Erfindung konnte die US Navy 10,5 Mio. USD einsparen, was ihr eine Auszeichnung von Präsident Jimmy Carter einbrachte − eine von nur sechs Auszeichnungen in über 20 Jahren [6]. Die Drosselscheibentechnologie ließ sich aufgrund der variablen Kondensatdurchsätze und Dampfdrücke in industriellen Prozessen nicht gut auf die Industrie übertragen.
In den 1980er-Jahren wurden die ersten Venturi-Kondensatableiter auf den Markt gebracht. Es handelte sich um eine Weiterentwicklung der Drosselscheibentechnologie. Diese Technologie beruhte ebenfalls auf einer genauen Kalibrierung und einem bevorzugten Abfluss des dichteren Kondensats über die Blende bzw. Düse. Die Venturi-Konstruktion zeichnet sich durch einen verlängerten, abgestuften Hals aus, der eine variable Drosselung des Zweiphasengemischs aus Entspannungsdampf und Kondensat ermöglicht. Bei der Venturi-Konstruktion wird der durch den Druckabfall an der Düse erzeugte Entspannungsdampf genutzt, um den Kondensatstrom in einer abgestuften Auslassöffnung zu drosseln, die gemeinhin als Venturi-Düse bezeichnet wird.
Abb. 1: Einteiliger Venturi-Abschnitt [7]
Entspannungsdampf entsteht auf natürliche Weise, wenn der Druck eines gesättigten Kondensats reduziert wird, wobei die überschüssige Energie dazu führt, dass ein Teil des Kondensats verdampft. Die nachfolgende Gleichung zeigt den Anteil des erzeugten Entspannungsdampfs, wobei hf Enthalpie der gesättigten Flüssigkeit und hfg die Kondensationsenthalpie der Flüssigkeit angegeben werden. Die Ziffern 1 und 2 bezeichnen den Anfangs- bzw. Enddruck.
Der Venturi-Abschnitt im Kondensatableiter ist so konzipiert, dass er die Ausdehnung des Entspannungsdampfs begrenzt und den Zweiphasenstrom von Entspannungsdampf und Kondensat drosselt. Die hier stattfindenden Wechselwirkungen sind komplex und lassen sich am einfachsten durch experimentelle Ergebnisse veranschaulichen.
Abbildung 2 zeigt, wie ein einzelner Venturi-Kondensatableiter den Austritt von Frischdampf wirksam verhindern kann, wenn die Kondensatdurchflussrate gegenüber der Auslegungsgröße abnimmt. Diese Tests wurden bei verschiedenen Dampfdrücken durchgeführt. Sie zeigen deutlich, dass der Frischdampfverlust bis etwa 25 % der Auslegungsgröße minimal ist.
Abb. 2: Variabler Durchfluss durch Venturi-Dampfkondensatableiter [8]
Dieses 4:1-Verhältnis gibt den Betriebsbereich bei konstantem Druck vor. Bei Prozessanwendungen mit größeren Schwankungen des Dampfverbrauchs wird üblicherweise ein modulierendes Regelventil vor dem Wärmetauscher eingesetzt, um die Wärmeübertragung zu regulieren.
Modulation des Dampfdrucks
Da die Sattdampftemperatur mit dem Druck ansteigt, kann die Erwärmung durch Modulation des Dampfdrucks gesteuert werden. Bei einem größeren Wärmebedarf öffnet sich das Regelventil, wodurch sich die Temperatur des Dampfes und damit die Wärmeübertragung und die Kondensationsrate erhöhen. Ab diesem Zeitpunkt unterliegt der Venturi-Kondensatableiter einem höheren Differenzdruck, und es stellt sich eine größere Kapazität und ein neues 4:1-Verhältnis ein.
Da die Sattdampftemperatur mit dem Druck ansteigt, kann die Erwärmung durch Modulation des Dampfdrucks gesteuert werden. Bei einem größeren Wärmebedarf öffnet sich das Regelventil, wodurch sich die Temperatur des Dampfes und damit die Wärmeübertragung und die Kondensationsrate erhöhen. Ab diesem Zeitpunkt unterliegt der Venturi-Kondensatableiter einem höheren Differenzdruck, und es stellt sich eine größere Kapazität und ein neues 4:1-Verhältnis ein.
Wie in Abbildung 3 dargestellt, kann durch den Betrieb mit einem Steuerventil der Einsatzbereich des Venturi-Kondensatableiters deutlich erweitert werden. Bei Anwendungen mit schwankendem Dampfdruck folgen die Betriebskurven daher diesem Profil. Da dies bei den meisten Wärmetauschern der Fall ist, eignet sich die Venturi-Technologie für die überwiegende Mehrheit der industriellen Prozesse.
Abb. 3: Venturi-Betriebskurve [9]
4.2 Betrieb beim Start
Im Anschluss an einen Shutdown des Dampfsystems ist es bei der nächsten Inbetriebnahme erforderlich, kaltes Kondensat und andere nicht kondensierbare Gase schnell aus dem System zu entfernen.
Positive Auswirkung des Venturi-Effekts
Dies ist ein Szenario, in dem sich der Venturi-Effekt positiv auswirkt und durch die Querschnittsverengung kaltes Kondensat, Gase und nicht kondensierende Flüssigkeiten effektiv und rasch aus dem System geleitet werden. Venturi-Ableiter haben eine offene Düse, durch deren Öffnung die Luft ungehindert durchströmen kann. Beim Aufwärmen (Start-up) des Dampfsystems sinkt die Dichte der Luft unter die des Dampfes und sammelt sich an hohen Punkten des Dampfverteilungssystems. Ein gut durchdachtes System weist an diesen hohen Punkten Entlüftungsöffnungen auf, um die Luft abzuführen.
Dies ist ein Szenario, in dem sich der Venturi-Effekt positiv auswirkt und durch die Querschnittsverengung kaltes Kondensat, Gase und nicht kondensierende Flüssigkeiten effektiv und rasch aus dem System geleitet werden. Venturi-Ableiter haben eine offene Düse, durch deren Öffnung die Luft ungehindert durchströmen kann. Beim Aufwärmen (Start-up) des Dampfsystems sinkt die Dichte der Luft unter die des Dampfes und sammelt sich an hohen Punkten des Dampfverteilungssystems. Ein gut durchdachtes System weist an diesen hohen Punkten Entlüftungsöffnungen auf, um die Luft abzuführen.
Kaltes Kondensat fließt schneller
Bei einem Kaltstart befindet sich deutlich mehr Kondensat im System als unter Betriebsbedingungen. Der Kondensatableiter muss also eine größere Menge Kondensat als im Dauerbetrieb ableiten. Dieses Kondensat ist unterkühlt und liegt unterhalb der Sättigungstemperatur, sodass über den Druckabfall kein Entspannungsdampf entsteht. Unter diesen Einzelphasenbedingungen kann das Kondensat ungehindert durch einen Venturi-Kondensatabscheider strömen. CFD-Analysen zeigen, dass kaltes Kondensat etwa doppelt so schnell durch eine Venturi-Düse fließt wie gesättigtes Kondensat.
Bei einem Kaltstart befindet sich deutlich mehr Kondensat im System als unter Betriebsbedingungen. Der Kondensatableiter muss also eine größere Menge Kondensat als im Dauerbetrieb ableiten. Dieses Kondensat ist unterkühlt und liegt unterhalb der Sättigungstemperatur, sodass über den Druckabfall kein Entspannungsdampf entsteht. Unter diesen Einzelphasenbedingungen kann das Kondensat ungehindert durch einen Venturi-Kondensatabscheider strömen. CFD-Analysen zeigen, dass kaltes Kondensat etwa doppelt so schnell durch eine Venturi-Düse fließt wie gesättigtes Kondensat.
Abbildung 4 zeigt ein Beispiel für eine Venturi-Konfiguration aus dieser Studie. Bei der Kalibrierung der Venturi-Kondensatableiter sollten immer die Betriebsbedingungen berücksichtigt werden, jedoch sollte auch dieser Faktor mit einbezogen werden.
Abb. 4: Kapazität von gesättigtem im Vergleich zu kaltem Kondensat [10]
4.3 Erhöhte Effizienz
Während des normalen Betriebs verlieren mechanische Kondensatableiter anlagebedingt eine kleine Menge Frischdampf, da der interne Mechanismus nicht schnell genug reagieren kann. Venturi-Kondensatableiter haben keinen internen Mechanismus und sind daher nicht mit dieser Ineffizienz behaftet. In einer unabhängigen Studie der Queen's University Belfast wurde dieser Verlust quantifiziert, indem Venturi-Kondensatableiter mit mechanischen Typen verglichen wurden. [11]
Frischdampfverluste
Die Ergebnisse in Abbildung 5 zeigen die Dampfverluste bei verschiedenen Durchflussraten und konstantem Druck. Bei diesen nach EN 27841:1991 durchgeführten Tests wurde ein Steigfilmverdampfer verwendet, bei dem der Flüssigkeitsstand auf der Sekundärseite eingestellt wurde. Dadurch veränderten sich die Wärmeübertragungsfläche und die Belastung des Wärmetauschers.
Abb. 5: Ergebnisse der Queen's University Belfast [11]
Die Ergebnisse in Abbildung 5 zeigen die Dampfverluste bei verschiedenen Durchflussraten und konstantem Druck. Bei diesen nach EN 27841:1991 durchgeführten Tests wurde ein Steigfilmverdampfer verwendet, bei dem der Flüssigkeitsstand auf der Sekundärseite eingestellt wurde. Dadurch veränderten sich die Wärmeübertragungsfläche und die Belastung des Wärmetauschers.
Diese Ergebnisse unterstützen die Aussage über die Effizienz von Venturi-Kondensatableitern bei variablen Lasten – sie zeigen durchwegs eine höhere Effizienz. Die Tests wurden unter Laborbedingungen mit neuen Kondensatableitern durchgeführt.
5.1 Betriebsbereich von Kondensatableitern
Mechanische Kondensatableiter haben im Vergleich zu Venturi-Kondensatableitern einen viel größeren Betriebsbereich. Dadurch wird die Auswahl von Modellen vereinfacht. Oft erfolgt sie auf der Grundlage der Leitungsgröße und der Anschlussart. Selbst wenn mechanische Kondensatableiter über Öffnungsvarianten mit hoher und niedriger Kapazität verfügen, ist ein einziger Kondensatableiter für eine große Anzahl von Anwendungen geeignet.
Sorgfältige Kalibrierung
Für jeden Wärmeübertragungsprozess gibt es eine Reihe anwendungsspezifischer Kondensatdurchsätze. Mechanische Kondensatableiter nutzen normalerweise nicht den größten Teil ihres Kapazitätsbereichs für einen bestimmten Prozess aus. Venturi-Kondensatableiter haben einen viel kleineren und effizienteren Betriebsbereich. Deshalb muss jeder Kondensatableiter auch sorgfältig kalibriert werden, um sicherzustellen, dass seine variable Kapazität zum jeweiligen Prozess passt. Abbildung 6 zeigt einen korrekt kalibrierten Venturi-Kondensatableiter.
Abb. 6: Betriebsbereich von Kondensatableitern [12]
Für jeden Wärmeübertragungsprozess gibt es eine Reihe anwendungsspezifischer Kondensatdurchsätze. Mechanische Kondensatableiter nutzen normalerweise nicht den größten Teil ihres Kapazitätsbereichs für einen bestimmten Prozess aus. Venturi-Kondensatableiter haben einen viel kleineren und effizienteren Betriebsbereich. Deshalb muss jeder Kondensatableiter auch sorgfältig kalibriert werden, um sicherzustellen, dass seine variable Kapazität zum jeweiligen Prozess passt. Abbildung 6 zeigt einen korrekt kalibrierten Venturi-Kondensatableiter.
Wenn Venturi-Kondensatableiter nicht richtig kalibriert sind, ist die Düse entweder unter- oder überdimensioniert. Ein unterdimensionierter Kondensatableiter hätte zur Folge, dass sich das Kondensat vor dem Kondensatableiter zurückstaut und die Wärmeübertragung behindert. Überdimensionierte Kondensatableiter arbeiten eventuell weniger effizient und könnten Frischdampf durchlassen.
Folgen fehlerhafter Kalibrierung
Ingenieure sind von Natur aus konservativ und planen daher Toleranzen ein. Wird ein Venturi-Kondensatableiter überdimensioniert, verringert dies zwar das Risiko einer Beeinträchtigung des Prozesses und wird vom Bedienpersonal wahrscheinlich nicht bemerkt, hat aber zur Folge, dass alle Kondensatableiter eine geringe Menge Frischdampf durchlassen. In der Summe werden dadurch die Vorteile der Energieeinsparungen deutlich verringert. Unterdimensionierte Kondensatableiter beeinträchtigen die Wärmeübertragung, was üblicherweise vom Endnutzer als Problem erkannt wird.
Abb. 7: Nicht korrekt kalibrierter Venturi-Kondensatableiter [12]
Ingenieure sind von Natur aus konservativ und planen daher Toleranzen ein. Wird ein Venturi-Kondensatableiter überdimensioniert, verringert dies zwar das Risiko einer Beeinträchtigung des Prozesses und wird vom Bedienpersonal wahrscheinlich nicht bemerkt, hat aber zur Folge, dass alle Kondensatableiter eine geringe Menge Frischdampf durchlassen. In der Summe werden dadurch die Vorteile der Energieeinsparungen deutlich verringert. Unterdimensionierte Kondensatableiter beeinträchtigen die Wärmeübertragung, was üblicherweise vom Endnutzer als Problem erkannt wird.
Viele der oben genannten Probleme in Bezug auf die Einsatzfähigkeit von Venturi-Kondensatableitern bei unterschiedlichen Durchflussmengen haben in der Regel mit falsch angewandten oder falsch kalibrierten Kondensatableitern zu tun. Oberstes Ziel für alle Anlagen ist die Produktion, und jede Beeinträchtigung des Prozesses kann jede Energieeinsparung schnell zunichtemachen.
Die meisten Umrüstungen auf Venturi-Kondensatableiter werden mit Energieeinsparungen begründet. Daher ist es wichtig, mit einem Anbieter zusammenzuarbeiten, der sich die Zeit nimmt, das System zu verstehen, der über umfassende Anwendungserfahrung verfügt und das Projekt nach der Installation in Betrieb nimmt, um eine optimale Leistung zu gewährleisten. Der Wert eines Venturi-Kondensatableiters liegt nicht in seinem Materialwert, sondern in der genauen Kalibrierung für die jeweilige Anwendung.
5.2 Unterschiede bei Venturi-Kondensatableitertypen
Einsatzmodelle mit abnehmbarer Düse
Es gibt zwei Haupttypen von Venturi-Kondensatableitern auf dem Markt. Bei sogenannten Einsatzmodellen wird eine abnehmbare Düse verwendet, die die Blende und die Venturi-Düse enthält, wie in Abbildung 8 dargestellt. Dank diesem Design wird eine Größenänderung anhand einer Auswahl von Einsätzen kostengünstig und einfach. Es gibt jedoch keine Sicherheit, welcher Einsatz in dem Kondensatableiter enthalten ist, was es für den Kunden oder den Lieferanten schwierig macht, die Verantwortung für eine optimale Leistung zu übernehmen.
Abb. 8: Venturi-Einsatz-Kondensatableiter [13]
Es gibt zwei Haupttypen von Venturi-Kondensatableitern auf dem Markt. Bei sogenannten Einsatzmodellen wird eine abnehmbare Düse verwendet, die die Blende und die Venturi-Düse enthält, wie in Abbildung 8 dargestellt. Dank diesem Design wird eine Größenänderung anhand einer Auswahl von Einsätzen kostengünstig und einfach. Es gibt jedoch keine Sicherheit, welcher Einsatz in dem Kondensatableiter enthalten ist, was es für den Kunden oder den Lieferanten schwierig macht, die Verantwortung für eine optimale Leistung zu übernehmen.
Modelle mit einteiligem Gehäuse
Der zweite Haupttyp der Venturi-Kondensatableiter besteht aus einem einteiligen Gehäuse, mit dem eine vollständige Rückverfolgbarkeit anhand der eingravierten Seriennummer und der Auslegung im Inneren des Kondensatableiters möglich ist. Abbildung 1 zeigt ein Design mit einem einteiligen Venturi-Kondensatableiter. Zu den Vorteilen eines einteiligen Gehäuses zählen das Fehlen eines internen Leckagepfads und ein vollständiges Venturi-Profil, das an die jeweilige Anwendung angepasst werden kann.
Der zweite Haupttyp der Venturi-Kondensatableiter besteht aus einem einteiligen Gehäuse, mit dem eine vollständige Rückverfolgbarkeit anhand der eingravierten Seriennummer und der Auslegung im Inneren des Kondensatableiters möglich ist. Abbildung 1 zeigt ein Design mit einem einteiligen Venturi-Kondensatableiter. Zu den Vorteilen eines einteiligen Gehäuses zählen das Fehlen eines internen Leckagepfads und ein vollständiges Venturi-Profil, das an die jeweilige Anwendung angepasst werden kann.
Einteilige Konstruktionen sind in der Regel zwar teurer, ermöglichen dem Anwender und dem Hersteller aber eine vollständige Rückverfolgbarkeit und bieten somit eine Leistungsgarantie für die Anwendung. Die Dimensionierung von Venturi-Kondensatableitern ist eine Investition, die, wenn sie richtig ausgeführt wird, der Produktionsstätte viele Jahre lang effizient dienen wird.
5.3 Nicht geeignete Anwendungen
Die Venturi-Technologie ist für die meisten industriellen Prozesse geeignet. Das in Abbildung 3 gezeigte Betriebsprofil hat eine ähnliche Form wie die meisten Wärmetauscher. Es gibt Anwendungen, die nicht diesem Profil entsprechen. Für diese sind Venturi-Kondensatableiter eventuell ungeeignet.
Diese ungeeigneten Anwendungen fallen in der Regel in drei Kategorien:
| 1. | Anwendungen mit überhitztem Dampfprozess:
Bei Anwendungen mit überhitztem Dampf deutlich über der Sättigungstemperatur ist eventuell nicht genügend Kondensat vorhanden, um genügend Kondensat über der Düse zu halten und den Verlust von Frischdampf zu verhindern. Jedoch kann der Einsatz von Venturi-Kondensatableitern bei Leitungsentwässerungsanwendungen mit kleinen Lasten Vorteile bieten, die mit einem Experten besprochen werden sollten. |
| 2. | Anwendungen mit festem Dampfdruck und großen Lastschwankungen:
Die Beispiele umfassen Reindampferzeuger, Abscheider nach Dampferzeugern, Kondensatableiter nach Heißdampfkesseln und Dampfspeicher. |
| 3. | Seltene Anwendungen, bei denen der Dampfdruck nicht proportional zum Kondensatdurchsatz ist. |
6 Funktionen zur Vermeidung von Verstopfungen
Venturi-Kondensatableiter haben üblicherweise kleinere Öffnungen als ein entsprechender mechanischer Kondensatableiter. Standard-Y-Siebe bieten einen guten Schutz vor Verunreinigungen für die meisten Anwendungen mit mechanischen Ableitern und auch für Venturi-Kondensatableiter mit größeren Kondensatflussraten. Anwendungen mit kleineren Düsen, wie z. B. Dampfleitungsentwässerung, Dampfbegleitheizungen und andere Anwendungen mit geringer Last, erfordern einen zusätzlichen Schutz vor Verstopfungen.
6.1 Diagnose von Venturi-Kondensatableitern
Verstopfungen
Bei korrekter Dimensionierung ist die einzige Fehlermöglichkeit bei einem Venturi-Kondensatableiter, dass er verstopft oder teilweise verstopft wird. Diese Bedingung kann einfach mit einem Temperaturtest diagnostiziert werden. Eine niedrige Temperatur vor dem Kondensatableiter (unter der Dampfsättigungstemperatur) zeigt an, dass der Ableiter geflutet ist. Dabei sollte bei Wärmetauschern mit Steuerventilen die Temperatur am Einlass des Wärmetauschers als Bezugspunkt genutzt werden.
Bei korrekter Dimensionierung ist die einzige Fehlermöglichkeit bei einem Venturi-Kondensatableiter, dass er verstopft oder teilweise verstopft wird. Diese Bedingung kann einfach mit einem Temperaturtest diagnostiziert werden. Eine niedrige Temperatur vor dem Kondensatableiter (unter der Dampfsättigungstemperatur) zeigt an, dass der Ableiter geflutet ist. Dabei sollte bei Wärmetauschern mit Steuerventilen die Temperatur am Einlass des Wärmetauschers als Bezugspunkt genutzt werden.
Ultraschallprüfgeräte können bei Venturi-Kondensatableitern als Diagnosemittel nicht eingesetzt werden, da es keinen internen Mechanismus gibt, der abgehört werden kann. Die Venturi-Düse ist so konstruiert, dass sie die Ausdehnung des Entspannungsdampfes begrenzt, sodass er innerhalb der Venturi-Düse beschleunigt wird. Das Ultraschallprüfgerät kann diese Ausdehnung von Entspannungsdampf nicht von Frischdampf unterscheiden.
Schmutzfänger und Düse
Die zu wartenden Teile eines Venturi-Kondensatableiters sind die internen Schmutzfänger und die Düse selbst. Siebe können mit Abschlämmventilen ausgestattet werden, die eine Reinigung der Filter ermöglichen.
Die zu wartenden Teile eines Venturi-Kondensatableiters sind die internen Schmutzfänger und die Düse selbst. Siebe können mit Abschlämmventilen ausgestattet werden, die eine Reinigung der Filter ermöglichen.
6.2.1 Siebfiltration
Die meisten Venturi-Hersteller verwenden zum Schutz ein internes Sieb vor der Düse. Die Maschenweite dieses Siebs ist feiner als die Düsengröße. Das Sieb kann gereinigt werden, wenn es in einem verschmutzten System verstopft wird. Dieses einfache System hat sich für die Filtration in Dampfanlagen bewährt. Die Maschenweite bei Kondensatableitern mit kleinerer Blende ist feiner als die der branchenüblichen Y-Siebe. Ein gut konstruierter Filter ist verstärkt, damit er im Einsatz nicht beschädigt wird, und verfügt über eine eng anliegende Dichtung an der Ober- und Unterseite, um zu verhindern, dass Schmutzpartikel den Filter umgehen. Die Wartungsintervalle richten sich nach der Oberfläche des Filters. Dank der größeren Oberfläche kann mehr Schmutz vor der Wartung aufgefangen werden.
Ein oder zwei Siebe
Einige Hersteller bauen ein zweites Sieb in Reihe in den Kondensatableiter ein. Das erste Sieb hat eine größere Maschenweite, das zweite eine feinere direkt vor der Düse. Der erste Filter entfernt nur größere Partikel aus dem System, während der zweite Filter immer noch eine beträchtliche Menge an Verunreinigungen entfernt. Diese müssen regelmäßig gereinigt werden, da sie aufgrund ihrer kleineren Oberfläche für Verstopfungen anfällig sind. Ein einzelner, feinmaschiger Filter mit großer Oberfläche ist vorteilhafter in Bezug auf die Filtration und die erforderliche Wartung.
Einige Hersteller bauen ein zweites Sieb in Reihe in den Kondensatableiter ein. Das erste Sieb hat eine größere Maschenweite, das zweite eine feinere direkt vor der Düse. Der erste Filter entfernt nur größere Partikel aus dem System, während der zweite Filter immer noch eine beträchtliche Menge an Verunreinigungen entfernt. Diese müssen regelmäßig gereinigt werden, da sie aufgrund ihrer kleineren Oberfläche für Verstopfungen anfällig sind. Ein einzelner, feinmaschiger Filter mit großer Oberfläche ist vorteilhafter in Bezug auf die Filtration und die erforderliche Wartung.
6.2.2 Magnetfiltration
Die häufigste Form von Verunreinigungen in einem Dampfsystem ist korrodiertes Eisen aus den Rohrleitungen. Da diese Partikel stark magnetisch sind, werden sie durch magnetische Filtersysteme aufgefangen. Idealerweise wird diese Technik vor der Düse verbaut, aber nach einem Siebfilter. In diesen Fällen fängt der Magnet nur die Partikel auf, die dem Feinsieb entkommen sind, und dient so als letzte Verteidigungslinie vor der Düse.
Vorsicht
Wird diese Technologie jedoch vor oder im Siebkorb eingebaut, ist eine deutlich häufigere Wartung notwendig. Alle Partikel, die durch das Sieb gefiltert würden, werden stattdessen vom Magneten aufgefangen, was eine Reinigung mit Druckluft notwendig macht.
Wird diese Technologie jedoch vor oder im Siebkorb eingebaut, ist eine deutlich häufigere Wartung notwendig. Alle Partikel, die durch das Sieb gefiltert würden, werden stattdessen vom Magneten aufgefangen, was eine Reinigung mit Druckluft notwendig macht.
6.2.3 Technologie mit umgekehrtem Kegel
Der umgekehrte Kegel ist ein internes Merkmal, bei dem die Düse eine Kegelform hat. (s. Abb. 9). Dadurch wird der Schmutz von der Düse abgelenkt und die Partikel werden in kleinere Bestandteile zerlegt. Diese einfache Technologie wurde in der Reifenindustrie entwickelt und hat sich speziell im Umgang mit systemimmanenten Fett- und Gummipartikeln bewährt.
Abb. 9: Technologie mit umgekehrtem Kegel [14]
6.3 Entblockung von Kondensatableitern Inline
Trotz der oben genannten Technologien zur Verringerung von Verstopfungen besteht bei Anwendungen mit niedrigeren Durchflussraten immer ein Risiko. Da es jedoch keinen internen Mechanismus zu reparieren gibt, sind Venturi-Kondensatableiter sehr einfach zu warten. Es gibt Anbieter, die Inline-Wartungswerkzeuge entwickelt haben, die eingesetzt werden können, ohne dass der Kondensatableiter aus dem Dampfsystem ausgebaut werden muss. Es ist einfach, den Kondensatableiter zu isolieren und die Kappe zu entfernen, um die Düse zu reinigen. Diese Arbeit dauert nur fünf Minuten und ist wesentlich schneller als die Reparatur oder der Austausch von mechanischen Kondensatableitern.
7 Praxisbeispiel
Der Einsatz von Venturi-Kondensatableitern war aufgrund von Bedenken hinsichtlich ihrer Fähigkeit, bei unterschiedlichen Belastungen zu arbeiten, und hinsichtlich ihrer Widerstandsfähigkeit gegenüber Verstopfungen eingeschränkt. Wir haben uns angesehen, wie führende Hersteller ihre Konstruktionen entwickelt haben, um Verstopfungen zu minimieren, und haben Verfahren entwickelt, um das Dampfprofil exakt auf den Betriebsbereich des Venturi-Kondensatableiters zu kalibrieren. Allerdings weiß jeder Techniker auch, dass der wahre Beweis in der Praxis erbracht wird.
Fallstudie
Als Fallstudie wird die Reifenindustrie mit beispielhaft drei Reifenwerken betrachtet, die jeweils über 400 Venturi-Kondensatableiter installiert haben und die Technologie seit mindestens 5 Jahren einsetzen. Der Dampfverbrauch zeichnet für 2/3 des Energieverbrauchs in der Reifenherstellung verantwortlich. Typische Anwendungen laufen rund um die Uhr, verbrauchen Mitteldruckdampf zwischen 6 und 15 bar(g), benötigen variable Kapazitäten und verwenden kleinere Düsen, was sie zu einem idealen Industriezweig für die Untersuchung der erörterten Fragen macht.
Als Fallstudie wird die Reifenindustrie mit beispielhaft drei Reifenwerken betrachtet, die jeweils über 400 Venturi-Kondensatableiter installiert haben und die Technologie seit mindestens 5 Jahren einsetzen. Der Dampfverbrauch zeichnet für 2/3 des Energieverbrauchs in der Reifenherstellung verantwortlich. Typische Anwendungen laufen rund um die Uhr, verbrauchen Mitteldruckdampf zwischen 6 und 15 bar(g), benötigen variable Kapazitäten und verwenden kleinere Düsen, was sie zu einem idealen Industriezweig für die Untersuchung der erörterten Fragen macht.
Vulkanisation in Heizpressen
Reifen werden üblicherweise in hydraulischen Heizpressen vulkanisiert, wobei Dampf die Wärme zum Aufwärmen des Reifens und zum anschließenden Vulkanisieren des Gummis liefert. Bei diesem Verfahren ergibt sich beim Anfahren eine höhere Last, da der Reifen kalt ist und auf die Vulkanisationstemperatur aufgeheizt wird, während der Dampfverbrauch während der Vulkanisation reduziert wird. Die Temperaturkontrolle ist bei diesem Prozess von entscheidender Bedeutung, sodass ein Kondensatrückstau vermieden werden muss.
Reifen werden üblicherweise in hydraulischen Heizpressen vulkanisiert, wobei Dampf die Wärme zum Aufwärmen des Reifens und zum anschließenden Vulkanisieren des Gummis liefert. Bei diesem Verfahren ergibt sich beim Anfahren eine höhere Last, da der Reifen kalt ist und auf die Vulkanisationstemperatur aufgeheizt wird, während der Dampfverbrauch während der Vulkanisation reduziert wird. Die Temperaturkontrolle ist bei diesem Prozess von entscheidender Bedeutung, sodass ein Kondensatrückstau vermieden werden muss.
7.1.1 Funktionstest zum Dampfverlust
Kalorimetertest
Ein Kalorimetertest, wie in ISO 7841 beschrieben, ist eine einfache und wirksame Methode zum Nachweis der Effizienz von Kondensatableitern mit geringer Kapazität. Bei diesen Tests werden das Kondensat, der Entspannungsdampf und der Frischdampf, der den Kondensatableiter passiert, aufgefangen und in einem teilweise mit kaltem Wasser gefüllten Kalorimeter kondensiert. Vor und nach dem Test werden die Temperatur und die Masse des Kalorimeters gemessen. Solche Tests eignen sich für Anwendungen im Bereich Dampfleitungsentwässerung, bei denen die Last relativ konstant ist, oder für Anwendungen wie die Reifenvulkanisation, bei denen der Zyklus sich wiederholt und kurz genug ist, um in einem Kalorimeter erfasst zu werden.
Ein Kalorimetertest, wie in ISO 7841 beschrieben, ist eine einfache und wirksame Methode zum Nachweis der Effizienz von Kondensatableitern mit geringer Kapazität. Bei diesen Tests werden das Kondensat, der Entspannungsdampf und der Frischdampf, der den Kondensatableiter passiert, aufgefangen und in einem teilweise mit kaltem Wasser gefüllten Kalorimeter kondensiert. Vor und nach dem Test werden die Temperatur und die Masse des Kalorimeters gemessen. Solche Tests eignen sich für Anwendungen im Bereich Dampfleitungsentwässerung, bei denen die Last relativ konstant ist, oder für Anwendungen wie die Reifenvulkanisation, bei denen der Zyklus sich wiederholt und kurz genug ist, um in einem Kalorimeter erfasst zu werden.
Die größere Enthalpie von Frischdampf im Vergleich zu Kondensat führt zu einem überproportionalen Temperaturanstieg im Kalorimeter für eine gegebene Masse, wenn Frischdampf durch den Kondensatableiter fließt. Die Tests sollten im Vergleich mit mechanischen Kondensatableitern durchgeführt werden, deren ordnungsgemäße Funktion geprüft wurde. Um die Schwankungen beim Durchfluss bei mechanischen Kondensatableitern zu berücksichtigen, werden durchschnittlich drei Tests empfohlen. Anschließend wird der Test dann mit dem Venturi-Kondensatableiter wiederholt.
Ergebnisse
Tabelle 3 zeigt die Ergebnisse eines Kalorimetertests, der für eine Anwendung im Rahmen einer 5 bar(g)-Leitungsentwässerung durchgeführt wurde und bei dem die Wirkungsgrade eines thermodynamischen Ableiters mit denen eines Venturi-Ableiters verglichen wurden.
Tabelle 3 zeigt die Ergebnisse eines Kalorimetertests, der für eine Anwendung im Rahmen einer 5 bar(g)-Leitungsentwässerung durchgeführt wurde und bei dem die Wirkungsgrade eines thermodynamischen Ableiters mit denen eines Venturi-Ableiters verglichen wurden.
Tabelle 3: Kalorimetertestergebnisse
Mechanisch | Venturi | |
Zeit (min) | 6 | 6 |
Ursprüngliche Masse (kg) | 5,35 | 5,35 |
Endmasse (kg) | 6,8 | 6,7 |
Ursprüngliche Temperatur (°C) | 15,8 | 16,3 |
Endtemperatur (°C) | 57,8 | 48 |
Massenveränderung (kg/Stunde) | 14,5 | 13,5 |
Kondensatlast (kg/Stunde) | 13,35 | 13,42 |
Dampfverlust (kg/Stunde) | 1,15 | 0,08 |
Dampfverlust in Tonnen/Jahr | 9,2 | 0,64 |
CO2-Äquivalent Tonnen/Jahr | 1,5 | 0,1 |
Unter Verwendung der ISO-7841-Formeln ergibt sich eine Dampfeinsparung von 1,1 kg/h, was mit der Studie der Queen's University [11] übereinstimmt. Diese Verluste werden hochskaliert, um jährliche Ergebnisse auf der Grundlage von 8.000 Betriebsstunden und einem erdgasbefeuerten Kessel zu erhalten.
Einsparungen Dampf und CO2
Um die Einsparungen an einem Standort mit 200 Kondensatableitern in Anwendungen mit Leitungsentwässerung zu schätzen, würde dies 1.760 Tonnen Dampf und 280 Tonnen CO2 entsprechen. Dabei ist zu beachten, dass es sich nur um die Einsparungen handelt, die sich aus der erhöhten Effizienz ergeben und nicht zusätzlich die durch den Ausfall mechanischer Kondensatableiter.
Um die Einsparungen an einem Standort mit 200 Kondensatableitern in Anwendungen mit Leitungsentwässerung zu schätzen, würde dies 1.760 Tonnen Dampf und 280 Tonnen CO2 entsprechen. Dabei ist zu beachten, dass es sich nur um die Einsparungen handelt, die sich aus der erhöhten Effizienz ergeben und nicht zusätzlich die durch den Ausfall mechanischer Kondensatableiter.
7.1.2 Einsparungen durch Nachrüstung
Kalorimetertests geben einen guten Anhaltspunkt für die Einsparungen bei Anwendungen mit geringen Betriebsstunden und konstanter Last. Um die Energieeffizienz bei Prozessanwendungen festzustellen, ist ein Versuch mit Dampfzählern besser geeignet. Diese Studie zeigt den Dampfverbrauch von 15 Reifenpressen und 90 Kondensatableitern vor und nach der Installation. Jede Reifenpresse wurde mit etwa 10 bar(g) Dampf betrieben und die Ergebnisse sind in Tabelle 4 aufgeführt.
Tabelle 4: Energieeinsparungen beim Versuch mit Reifenpressen
Dampfnutzung – Thermodynamische Kondensatableiter | 52.500 | kg/Tag |
Verwendung von Dampf – Venturi-Kondensatableiter | 49.100 | kg/Tag |
Einsparungen | 3.400 | kg/Tag |
Gesamteinsparungen | 1.173 | Tonnen/Jahr |
Gaseinsparungen | 912.594 | kWh/Jahr |
CO2-Einsparungen | 169 | Tonnen/Jahr |
Diese Einsparungen entsprechen einer Verringerung des gesamten Dampfverbrauchs von 6,5 % und einer durchschnittlichen Dampfeinsparung von 1,6 kg/Stunde pro Kondensatableiter. Vor der Umstellung wurde an diesem Standort ein proaktives Wartungsprogramm für die vorhandenen mechanischen Kondensatableiter durchgeführt.
7.2 Qualitätsverbesserungen
Richtige Temperatur entscheidend
Bei der Reifenherstellung ist die Vulkanisationstemperatur ein entscheidender Faktor. Die meisten Reifenpressen sind mit einem Thermoelement ausgestattet, das vor dem Kondensatableiter installiert ist und eine Abweichung von höchstens 1 °C zulässt. Vulkanisationen, die nicht dem idealen Temperaturprofil entsprechen, erfordern weitere Qualitätsprüfungen, Nacharbeiten und haben möglicherweise Ausschuss zur Folge, was dem Hersteller erhebliche Kosten verursacht.
Bei der Reifenherstellung ist die Vulkanisationstemperatur ein entscheidender Faktor. Die meisten Reifenpressen sind mit einem Thermoelement ausgestattet, das vor dem Kondensatableiter installiert ist und eine Abweichung von höchstens 1 °C zulässt. Vulkanisationen, die nicht dem idealen Temperaturprofil entsprechen, erfordern weitere Qualitätsprüfungen, Nacharbeiten und haben möglicherweise Ausschuss zur Folge, was dem Hersteller erhebliche Kosten verursacht.
Reduzierung der Ausschussrate um 69 %
Ein zusätzlicher Vorteil von Venturi-Kondensatableitern ergibt sich dadurch, dass ihr kontinuierlicher Kondensatabfluss die Temperaturregelung verbessert. Abbildung 10 zeigt diese Verbesserung am Beispiel eines deutschen Reifenwerks. Nach der Umstellung von über 400 Kondensatableitern konnten die monatlichen Ausschussraten um 69 % gesenkt werden. Auch wenn nicht alle Ausschüsse auf das Versagen von Kondensatableitern zurückzuführen sind, zeigen die Daten eine deutliche Verbesserung nach der Installation.
Abb. 10: Ausschuss bei Reifenpressen [15]
Ein zusätzlicher Vorteil von Venturi-Kondensatableitern ergibt sich dadurch, dass ihr kontinuierlicher Kondensatabfluss die Temperaturregelung verbessert. Abbildung 10 zeigt diese Verbesserung am Beispiel eines deutschen Reifenwerks. Nach der Umstellung von über 400 Kondensatableitern konnten die monatlichen Ausschussraten um 69 % gesenkt werden. Auch wenn nicht alle Ausschüsse auf das Versagen von Kondensatableitern zurückzuführen sind, zeigen die Daten eine deutliche Verbesserung nach der Installation.
Es handelt sich um ein Reifenwerk, das bereits erhebliche Ressourcen für die Überwachung mechanischer Kondensatableiter einsetzt, und nicht um ein Werk mit einer hohen Ausfallrate. In diesem Werk kommt es nur noch gelegentlich zu Verstopfungen der Kondensatableiter, die vom Bedienpersonal der Presse schnell vor Ort behoben werden können.
7.3 Instandhaltungsbedarf
Gute Wasseraufbereitung
Die Analyse der installierten Venturi-Kondensatableiter hat ergeben, dass der Instandhaltungsbedarf sich direkt proportional zur Qualität der Wasseraufbereitung und zum eingesetzten Wartungsverfahren verhält. Gute Praxis ist es, den Zustand jedes Kondensatableiters einmal im Jahr mit den in Abschnitt 3.1 beschriebenen Methoden zu überprüfen.
Die Analyse der installierten Venturi-Kondensatableiter hat ergeben, dass der Instandhaltungsbedarf sich direkt proportional zur Qualität der Wasseraufbereitung und zum eingesetzten Wartungsverfahren verhält. Gute Praxis ist es, den Zustand jedes Kondensatableiters einmal im Jahr mit den in Abschnitt 3.1 beschriebenen Methoden zu überprüfen.
Gutes Wartungsmanagement
An einem Standort mit einer guten Wasseraufbereitung, an dem die Wartung hohe Priorität hat, kann man davon ausgehen, dass die Venturi-Kondensatableiter nur sehr selten gewartet werden müssen. Ausgehend von der Analyse von Wartungsaufzeichnungen über mehrere Jahre hinweg, liegen die jährlichen Verstopfungsraten an Standorten mit guten Wartungsregelungen zwischen 0 und 3 % der Kondensatableiter.
An einem Standort mit einer guten Wasseraufbereitung, an dem die Wartung hohe Priorität hat, kann man davon ausgehen, dass die Venturi-Kondensatableiter nur sehr selten gewartet werden müssen. Ausgehend von der Analyse von Wartungsaufzeichnungen über mehrere Jahre hinweg, liegen die jährlichen Verstopfungsraten an Standorten mit guten Wartungsregelungen zwischen 0 und 3 % der Kondensatableiter.
An Standorten, an denen weniger Wert auf Wartung gelegt wird, liegt der Wartungsbedarf bei etwa 7–8 % pro Jahr. Diese Werte entsprechen den Verstopfungsraten einer Studie mit 100.000 Kondensatableitern [4], bei der 6,3 % der mechanischen Kondensatableiter eine niedrige Temperatur aufwiesen oder blockiert waren. Des Weiteren kann festgestellt werden, dass die Standorte mit bewährten Praktiken auch bei anderen, größeren Dampfanlagen einen geringeren Wartungsbedarf zu verzeichnen haben.
7.4 Zuverlässigkeit
Bei Venturi-Kondensatableitern sind Garantiezeiten von zehn Jahren üblich, was darauf zurückzuführen ist, dass es keine potenziellen Fehlerquellen gibt.
Wiederverwendung nach 17 Jahren
Ein führender Hersteller von Venturi-Kondensatableitern konnte mehrere seiner Kondensatableiter aus einem Reifenwerk nach dessen Schließung im Jahr 2018 wiederverwenden und damit nachweisen, dass die Leistung mit der Zeit durch Erosion der Düse nicht abnimmt. Zu diesem Zeitpunkt waren die Kondensatableiter bereits seit 17 Jahren im Dauerbetrieb. Die Tatsache, dass in diesem Werk bis zu seiner Schließung über 600 Venturi-Kondensatableiter im Einsatz waren, zeigt, dass die Technologie bei richtiger Dimensionierung mit den variablen Lasten in der Industrie zurechtkommt und etwaige Probleme mit Verstopfungen beherrschbar sind.
Ein führender Hersteller von Venturi-Kondensatableitern konnte mehrere seiner Kondensatableiter aus einem Reifenwerk nach dessen Schließung im Jahr 2018 wiederverwenden und damit nachweisen, dass die Leistung mit der Zeit durch Erosion der Düse nicht abnimmt. Zu diesem Zeitpunkt waren die Kondensatableiter bereits seit 17 Jahren im Dauerbetrieb. Die Tatsache, dass in diesem Werk bis zu seiner Schließung über 600 Venturi-Kondensatableiter im Einsatz waren, zeigt, dass die Technologie bei richtiger Dimensionierung mit den variablen Lasten in der Industrie zurechtkommt und etwaige Probleme mit Verstopfungen beherrschbar sind.
Abbildung 11 zeigt, dass die Düse keine Anzeichen von Erosion aufweist und die bei der Herstellung verwendeten Kalibrierungslehren noch immer fest in der Düse sitzen. Dieser Kondensatableiter hat in den letzten 17 Jahren nichts an Leistung eingebüßt, und es kann davon ausgegangen werden, dass er noch viele weitere Jahre zuverlässig und effizient arbeiten wird.
Abb. 11: Venturi-Dampf-Kondensatableiter aus einer Reifenpresse nach 17 Jahren [16]
8 Fazit
Der Schwerpunkt dieses Beitrags liegt auf Venturi-Kondensatableitern als mögliche langfristige Lösung für Ausfälle von Kondensatableitern. Obwohl diese Technologie seit mehr als 25 Jahren auf dem Markt ist, konnte sie sich noch nicht in dem Maße durchsetzen, wie es die Vorteile rechtfertigen würden.
Ein Ausfall eines mechanischen Kondensatableiters und dessen Reparatur oder Austausch war historisch schon immer ein akzeptierter Kostenfaktor beim Betrieb einer Dampfanlage. Anwender mechanischer Kondensatableiter befinden sich in einem ständigen Kreislauf von Ausfall, Reparatur und Austausch von Kondensatableitern und versuchen, ein Gleichgewicht zwischen der Häufigkeit von Dampfaudits und dem Wert des Dampfverlusts zwischen Ausfall und Austausch eines Kondensatableiters zu finden.
Reduzierungspotenzial
Ein Artikel des Lawrence Berkley National Laboratory [], in dem das Potenzial für Energieeffizienzverbesserungen in US-amerikanischen Dampfsystemen untersucht wurde, kam zu dem Ergebnis, dass 19 % der bei der Dampferzeugung verbrauchten Energie eingespart werden könnte durch die Realisierung von Projekten, die sich innerhalb von höchstens drei Jahren amortisieren würden. Auf die Verluste im Zusammenhang mit Kondensatableitern entfielen 36 % der ermittelten 1.260 PJ an Energie. Die Beseitigung dieser Verluste würde bei einer Umsetzung in den gesamten USA jährlich 4,5 Mio. t CO2 einsparen.
Ein Artikel des Lawrence Berkley National Laboratory [], in dem das Potenzial für Energieeffizienzverbesserungen in US-amerikanischen Dampfsystemen untersucht wurde, kam zu dem Ergebnis, dass 19 % der bei der Dampferzeugung verbrauchten Energie eingespart werden könnte durch die Realisierung von Projekten, die sich innerhalb von höchstens drei Jahren amortisieren würden. Auf die Verluste im Zusammenhang mit Kondensatableitern entfielen 36 % der ermittelten 1.260 PJ an Energie. Die Beseitigung dieser Verluste würde bei einer Umsetzung in den gesamten USA jährlich 4,5 Mio. t CO2 einsparen.
Feldstudie Ergebnisse
Eine Feldstudie mit mehr als 1.000 Venturi-Kondensatableitern, die an drei Standorten in der Hauptdampfentwässerung und in prozesskritischen Reifenvulkanisationspressen installiert wurden, hat ergeben, dass diese Kondensatableiter zu Folgendem in der Lage sind:
Eine Feldstudie mit mehr als 1.000 Venturi-Kondensatableitern, die an drei Standorten in der Hauptdampfentwässerung und in prozesskritischen Reifenvulkanisationspressen installiert wurden, hat ergeben, dass diese Kondensatableiter zu Folgendem in der Lage sind:
| 1. | Einsparungen bei den Dampfmessgeräten von 1,6 kg/Std. pro Kondensatableiter und damit eine jährliche Einsparung von 1.173 Tonnen bei 90 Kondensatableitern in einem deutschen Werk, das zuvor ein proaktives Wartungsprogramm für Kondensatableiter durchgeführt hatte; |
| 2. | bessere Regelung der Vulkanisationstemperatur, was sich in einer Reduzierung der Niedrigtemperaturalarme während des Vulkanisationsprozesses um 69 % zeigt; |
| 3. | 17 Jahre zuverlässiger Betrieb ohne Erosion. Venturi-Kondensatableiter, die nach der Schließung eines Werks 17 Jahre nach dem Einbau an den Hersteller zurückgegeben wurden, wiesen keine Anzeichen von Erosion auf und funktionierten wie am Tag ihres Einbaus; |
| 4. | die Analyse der Wartungsprotokolle zeigt, dass die Verstopfungshäufigkeit nicht höher ist als bei mechanischen Kondensatableitern. |
Kalibrierung Schlüssel zum Erfolg
Die Kalibrierung ist der Schlüssel zum Erfolg eines jeden Projekts mit Venturi-Kondensatableitern, denn unterdimensionierte Kondensatableiter stauen Kondensat zurück, und überdimensionierte Kondensatableiter sind weniger effizient. Bei jedem Projekt zur Energie- oder CO2-Einsparung liegt die höchste Priorität darauf, die Produktion nicht zu beeinträchtigen, da die Kosten für Ausfallzeiten die erzielten Einsparungen schnell aufzehren würden. Erst danach kann versucht werden, die Energieeinsparungen zu erreichen.
Die Kalibrierung ist der Schlüssel zum Erfolg eines jeden Projekts mit Venturi-Kondensatableitern, denn unterdimensionierte Kondensatableiter stauen Kondensat zurück, und überdimensionierte Kondensatableiter sind weniger effizient. Bei jedem Projekt zur Energie- oder CO2-Einsparung liegt die höchste Priorität darauf, die Produktion nicht zu beeinträchtigen, da die Kosten für Ausfallzeiten die erzielten Einsparungen schnell aufzehren würden. Erst danach kann versucht werden, die Energieeinsparungen zu erreichen.
Anbieter prüfen
Bei der Auswahl eines Anbieters von Venturi-Kondensatableitern kaufen Sie eine Kalibrierungsdienstleistung. Ein guter Anbieter wird in der Lage sein, geeignete Anwendungen zu identifizieren, das Dampfsystem als Ganzes zu betrachten und Empfehlungen auszusprechen, um die Eignung für Venturi-Kondensatableiter sicherzustellen. Er nimmt sich die Zeit, vor Ort mit Ihrem technischen Personal Ihren Prozess und Ihr System zu verstehen, die Kondensatableiter zu kalibrieren und nach der Installation in Betrieb zu nehmen, um zu gewährleisten, dass sie richtig funktionieren. Investitionen in Venturi-Kondensatableiter amortisieren sich in der Regel schnell.
Bei der Auswahl eines Anbieters von Venturi-Kondensatableitern kaufen Sie eine Kalibrierungsdienstleistung. Ein guter Anbieter wird in der Lage sein, geeignete Anwendungen zu identifizieren, das Dampfsystem als Ganzes zu betrachten und Empfehlungen auszusprechen, um die Eignung für Venturi-Kondensatableiter sicherzustellen. Er nimmt sich die Zeit, vor Ort mit Ihrem technischen Personal Ihren Prozess und Ihr System zu verstehen, die Kondensatableiter zu kalibrieren und nach der Installation in Betrieb zu nehmen, um zu gewährleisten, dass sie richtig funktionieren. Investitionen in Venturi-Kondensatableiter amortisieren sich in der Regel schnell.
Dieser Beitrag liegt auch in englischer Sprache vor, siehe Kapitel 08010.[
08010.pdf]
08010.pdf]Quellen
1
Hasanbeigi, A. (2014). Energy Efficiency Potentials in Industrial Steam Systems in China. United Nations Industrial Development Organization.
2
Risko, J. (2015). Why Bad Things Happen to Good Steam Equipment.
3
Spirax Sarco. (2006). Spiratec Steam Trap Monitoring.
4
Hans de Kegel, Maintenance Holding BV. (n. d.)
5
Risko, J. (2013). Beware of the Dangers of Cold Traps.
6
G Peters, T. W. (n.d.). „The American Presidency Project”
7
Thermal Energy International (2019). GEM Venturi Trap Section
8
Thermal Energy International. (n.d.). Venturi Turndown Analysis.
9
Thermal Energy International. (2020). Venturi Operating Profile.
10
James, K. (2018). Thermal Energy International CFD Steam Trap Analysis.
11
Abu-Halimeh, S. (2004). Performance Analysis of Venturi Orifice Steam Traps.
12
Thermal Energy International. (n.d.). Venturi Operating Range
13
Delta Steam Systems. (2011). Venturi Steam Trap
14
Thermal Energy International. (2017). GEM Trap Secondary Magnetic Filter Technisches Datenblatt
15
Thermal Energy International. (2021). Venturi Control on Tyre Presses
16
Thermal Energy International. (2021). Venturi Longevity Analysis





